Официальное опубликование правовых актов
ОФИЦИАЛЬНОЕ ОПУБЛИКОВАНИЕ
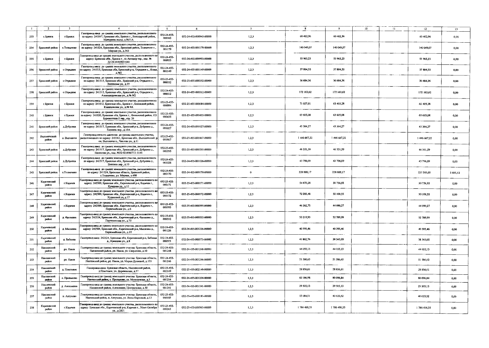
Приказ Управления государственного регулирования тарифов Брянской области от 22.08.2025 № 29/1-г
"Об установлении размера экономически обоснованных расходов на выполнение мероприятий по технологическому присоединению в рамках догазификации за II квартал 2025 года"
(Зарегистрирован 25.08.2025 № 20250063024)
Номер опубликования: 3201202508280001
Дата опубликования: 28.08.2025
Страница №12 из 20:
Увеличить