Официальное опубликование правовых актов
ОФИЦИАЛЬНОЕ ОПУБЛИКОВАНИЕ
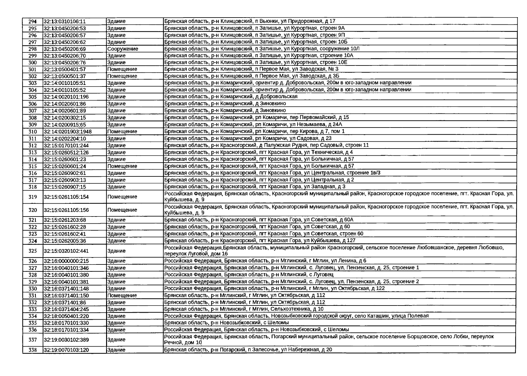
Приказ Управления имущественных отношений Брянской области от 17.04.2025 № 571
"О внесении изменений в приказ от 21.11.2024 №1936 "Об определении Перечня объектов недвижимого имущества, расположенных на территории Брянской области, в отношении которых в 2025 году налоговая база определяется как их кадастровая стоимость, для целей налогообложения"
(Зарегистрирован 21.04.2025 № 20250026019)
Номер опубликования: 3201202504280001
Дата опубликования: 28.04.2025
Страница №10 из 252:
Увеличить