Официальное опубликование правовых актов
ОФИЦИАЛЬНОЕ ОПУБЛИКОВАНИЕ
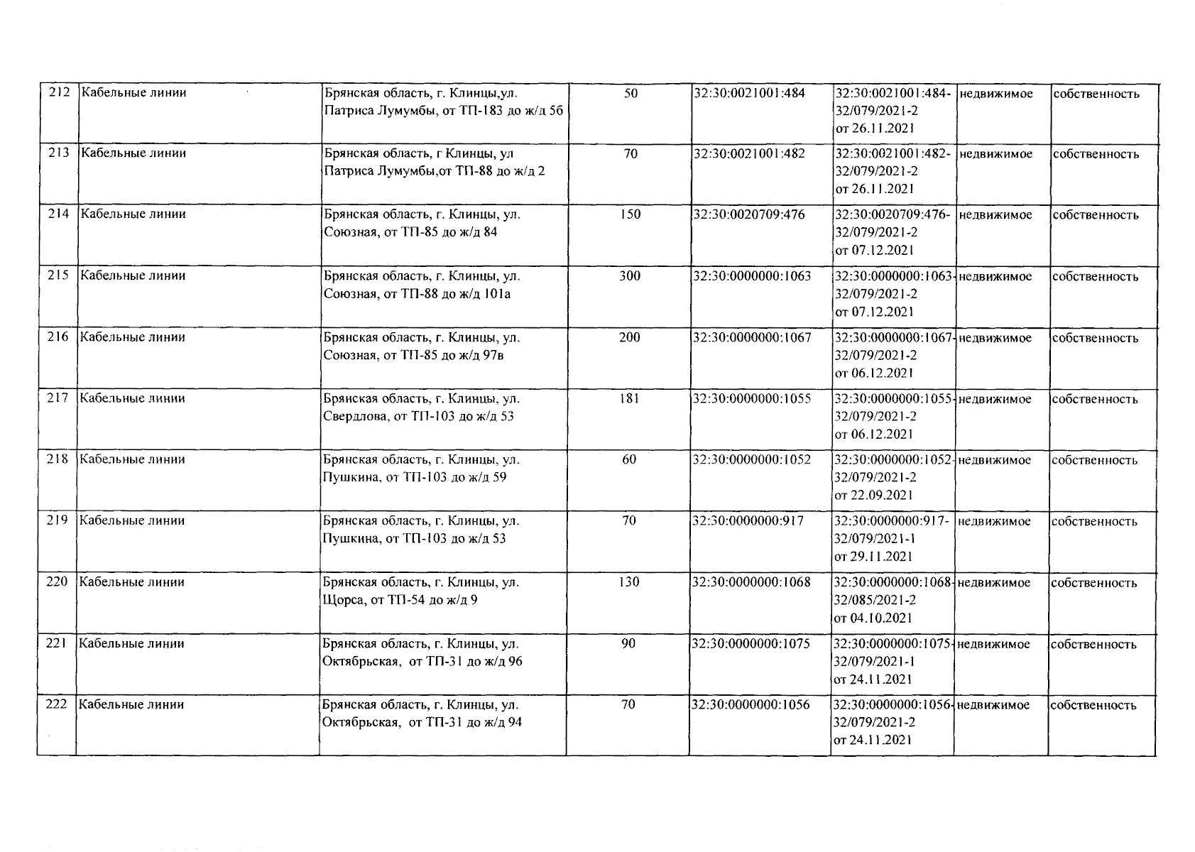
Приказ Департамента топливно-энергетического комплекса и жилищно-коммунального хозяйства Брянской области от 21.03.2025 № 30
"Об утверждении перечня объектов электросетевого хозяйства, подлежащих передаче системообразующей территориальной сетевой организации — публичному акционерному обществу "Россети Центр" в лице филиала ПАО "Россети Центр" - "Брянскэнерго"
(Зарегистрирован 26.03.2025 № 20250015010)
Номер опубликования: 3201202503310002
Дата опубликования: 31.03.2025
Страница №23 из 51:
Увеличить