Официальное опубликование правовых актов
ОФИЦИАЛЬНОЕ ОПУБЛИКОВАНИЕ
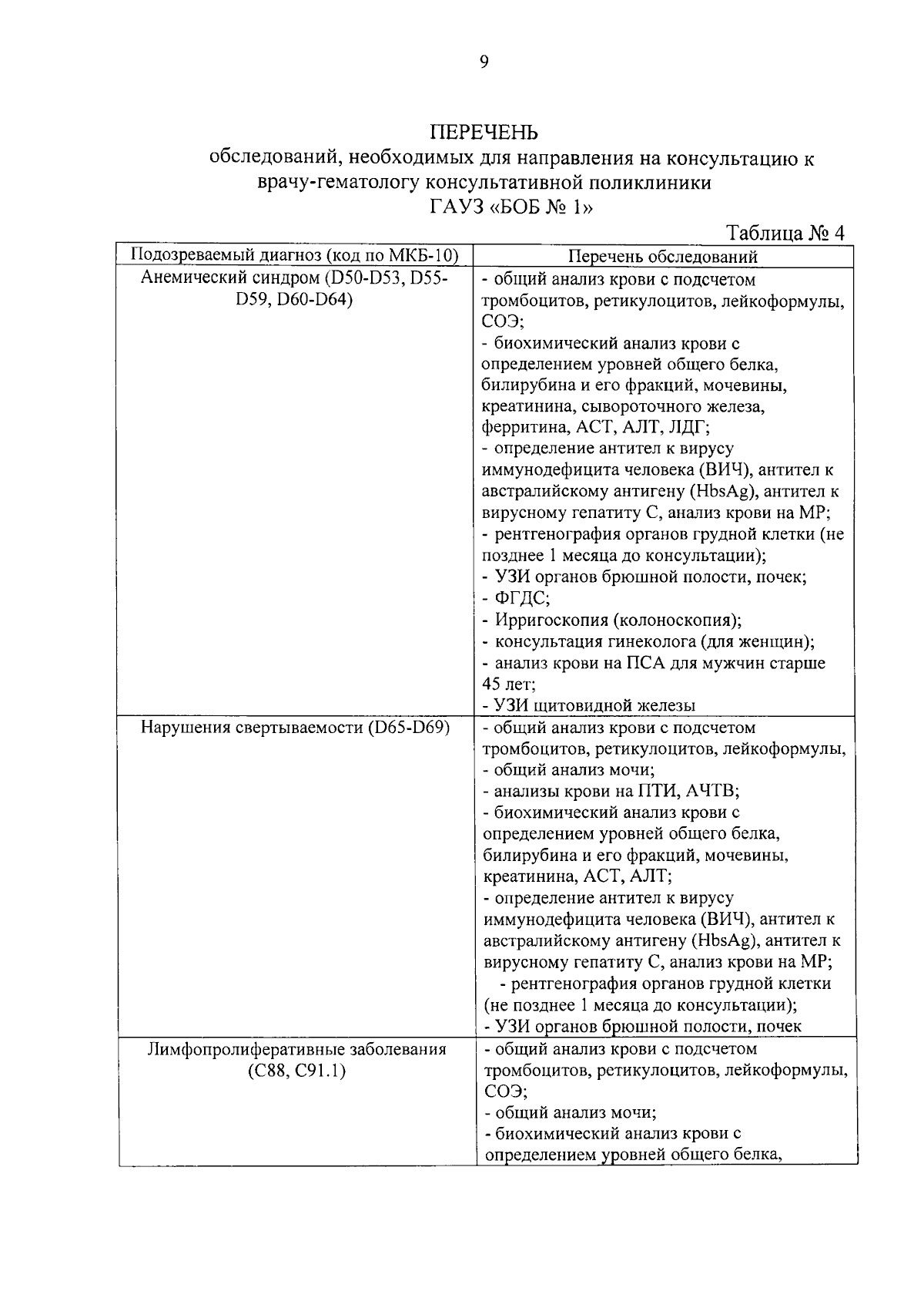
Приказ Департамента здравоохранения Брянской области от 25.02.2025 № 244
"Об организации оказания медицинской помощи по профилю "гематология" взрослому населению Брянской области"
(Зарегистрирован 25.02.2025 № 20250004006)
Номер опубликования: 3201202502280004
Дата опубликования: 28.02.2025
Страница №9 из 39:
Увеличить