Официальное опубликование правовых актов
ОФИЦИАЛЬНОЕ ОПУБЛИКОВАНИЕ
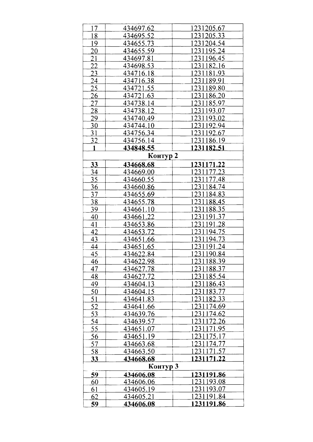
Приказ Управления по охране и сохранению историко-культурного наследия Брянской области от 20.12.2024 № 2-1/188
"Об утверждении границ территории и требований к осуществлению деятельности в границах территории объекта культурного наследия регионального значения "Воинское кладбище советских воинов, погибших в 1943 г. в боях с немецко-фашистскими захватчиками" (Брянская область, Клинцовский район, г. Клинцы, юго-западная окраина города)"
(Зарегистрирован 23.12.2024 № 20240097025)
Номер опубликования: 3201202412300001
Дата опубликования: 30.12.2024
Страница №3 из 5:
Увеличить