Официальное опубликование правовых актов
ОФИЦИАЛЬНОЕ ОПУБЛИКОВАНИЕ
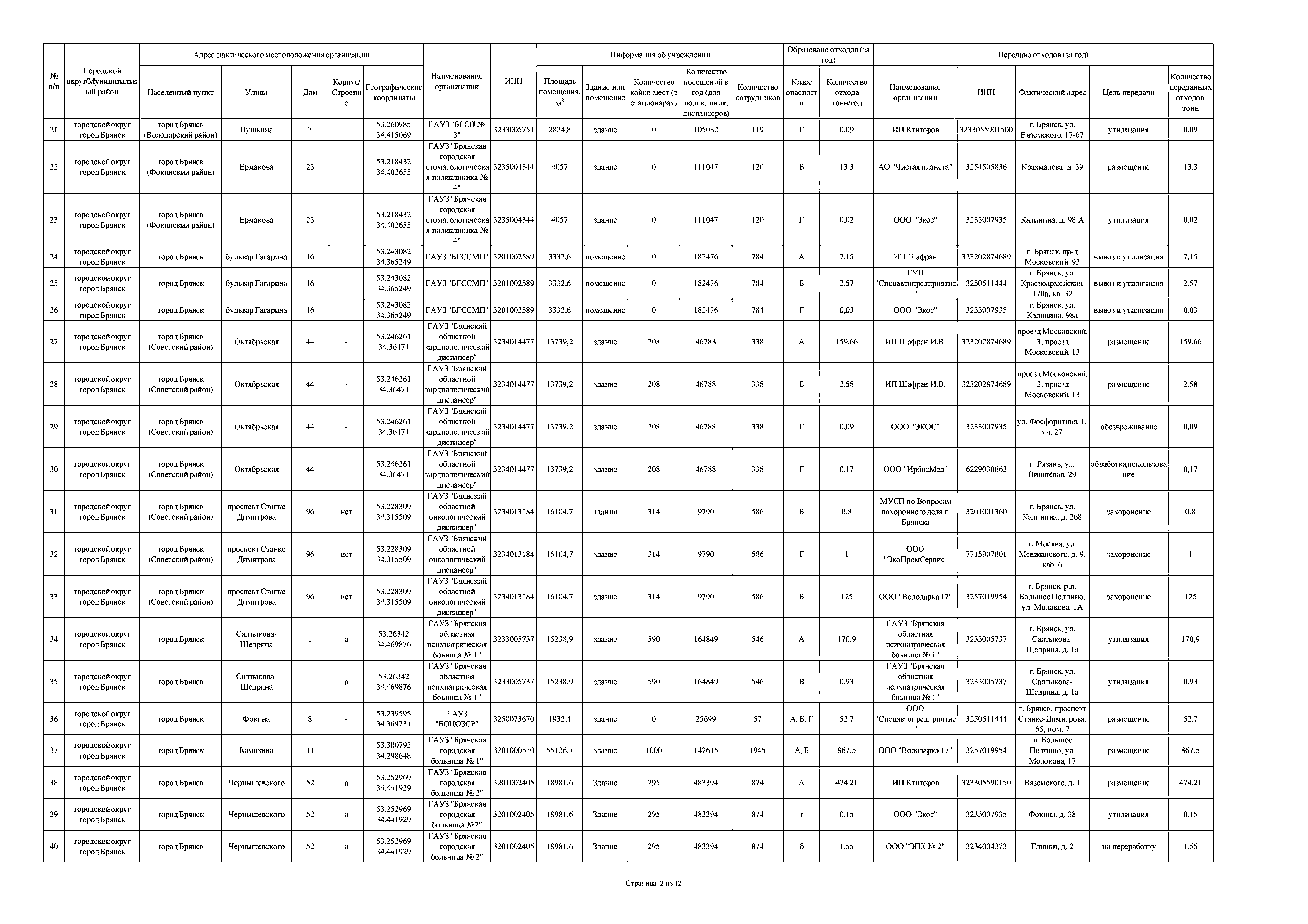
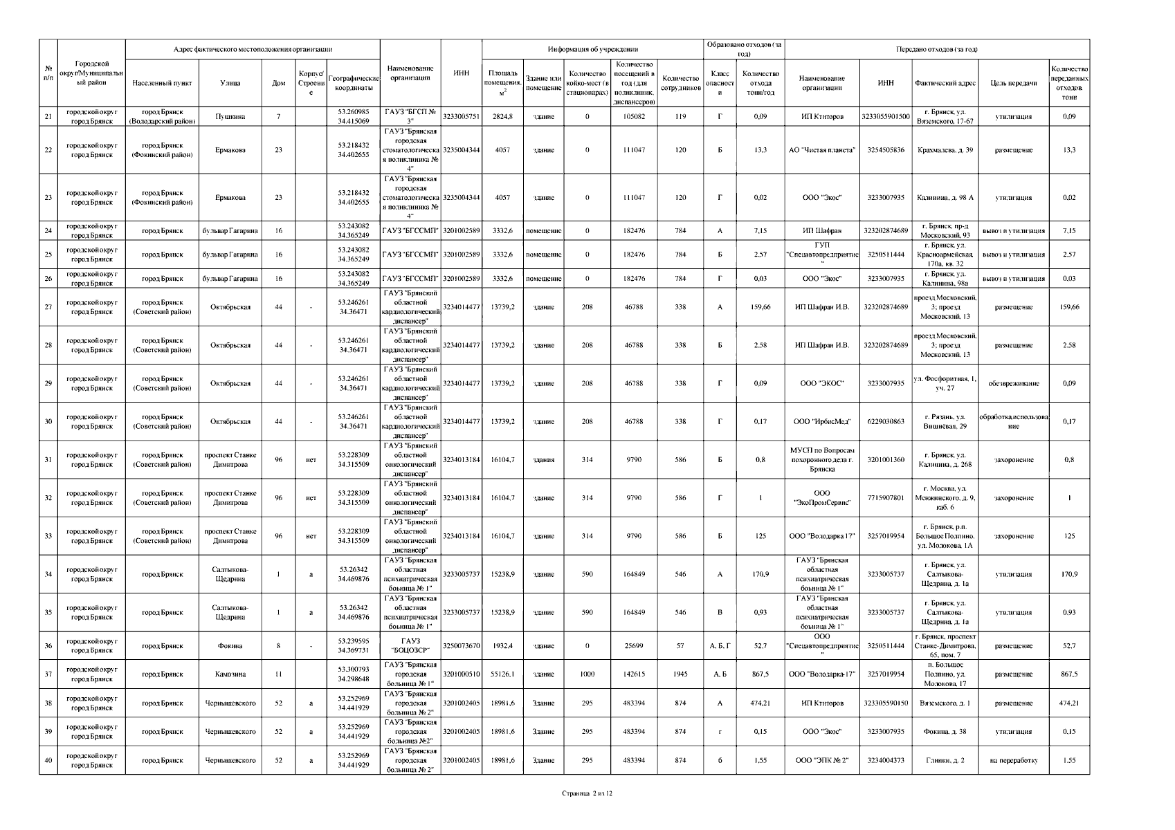
Приказ Департамента природных ресурсов и экологии Брянской области от 16.12.2024 № 668
"Об утверждении территориальной схемы обращения с отходами Брянской области"
(Зарегистрирован 18.12.2024 № 20240013012)
Номер опубликования: 3201202412270006
Дата опубликования: 27.12.2024
Страница №249 из 1288: