Официальное опубликование правовых актов
ОФИЦИАЛЬНОЕ ОПУБЛИКОВАНИЕ
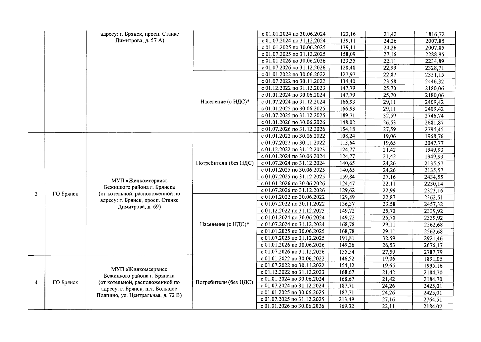
Приказ Управления государственного регулирования тарифов Брянской области от 20.12.2024 № 36-2/103-гвс
"О внесении изменений в приказ управления государственного регулирования тарифов Брянской области от 20 декабря 2021 года № 34/226-гвс "О тарифах на горячую воду, поставляемую потребителям МУП "Жилкомсервис" Бежицкого района г. Брянска"
(Зарегистрирован 24.12.2024 № 20240341024)
Номер опубликования: 3201202412260161
Дата опубликования: 26.12.2024
Страница №4 из 5:
Увеличить