Официальное опубликование правовых актов
ОФИЦИАЛЬНОЕ ОПУБЛИКОВАНИЕ
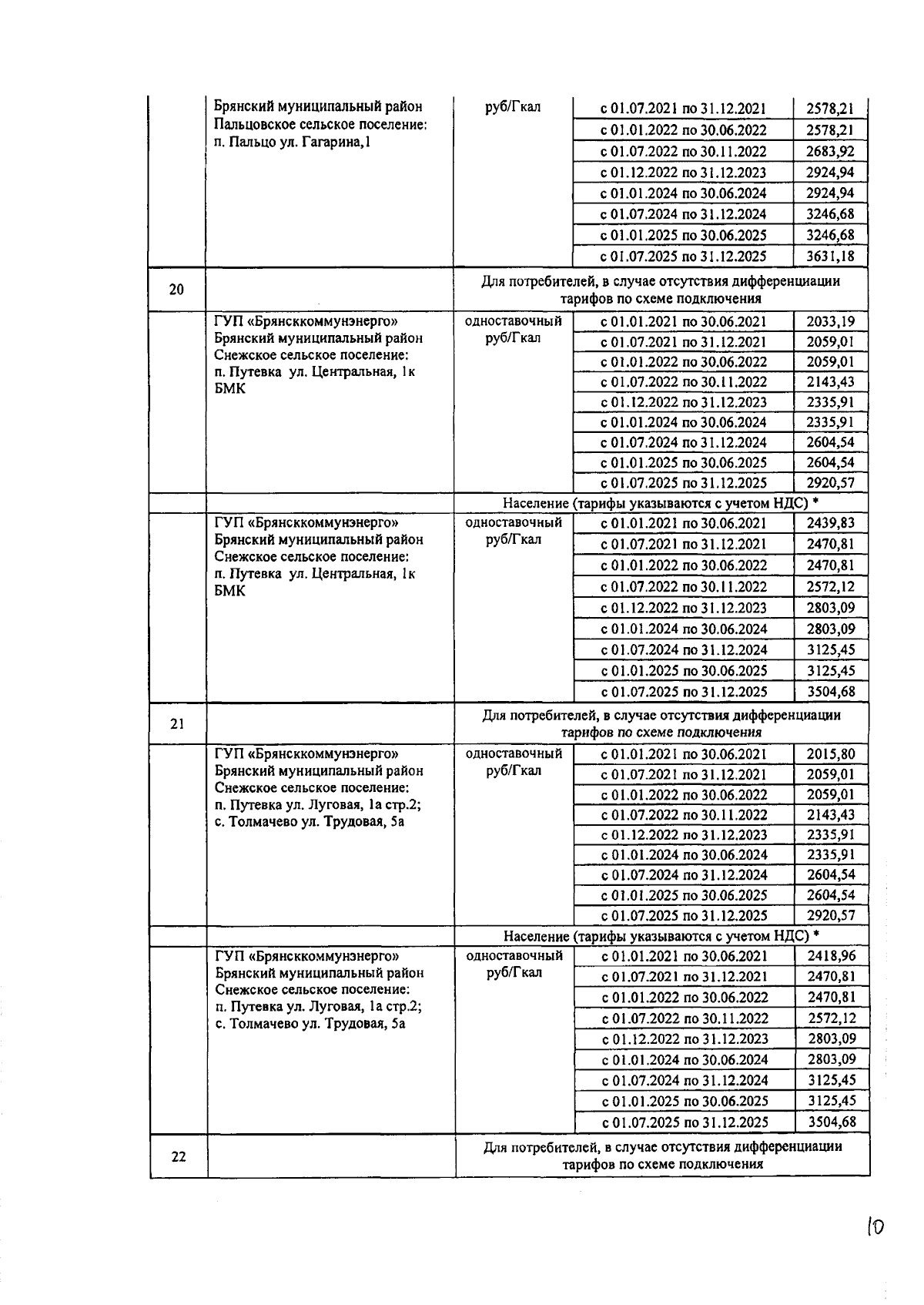
Приказ Управления государственного регулирования тарифов Брянской области от 20.12.2024 № 36-2/1-т
"О внесении изменений в приказ управления государственного регулирования тарифов Брянской области от 18 декабря 2020 года № 31/159-т "О тарифах на тепловую энергию (мощность), поставляемую потребителям ГУП "Брянсккоммунэнерго"
(Зарегистрирован 24.12.2024 № 20240239024)
Номер опубликования: 3201202412260049
Дата опубликования: 26.12.2024
Страница №10 из 43:
Увеличить