Официальное опубликование правовых актов
ОФИЦИАЛЬНОЕ ОПУБЛИКОВАНИЕ
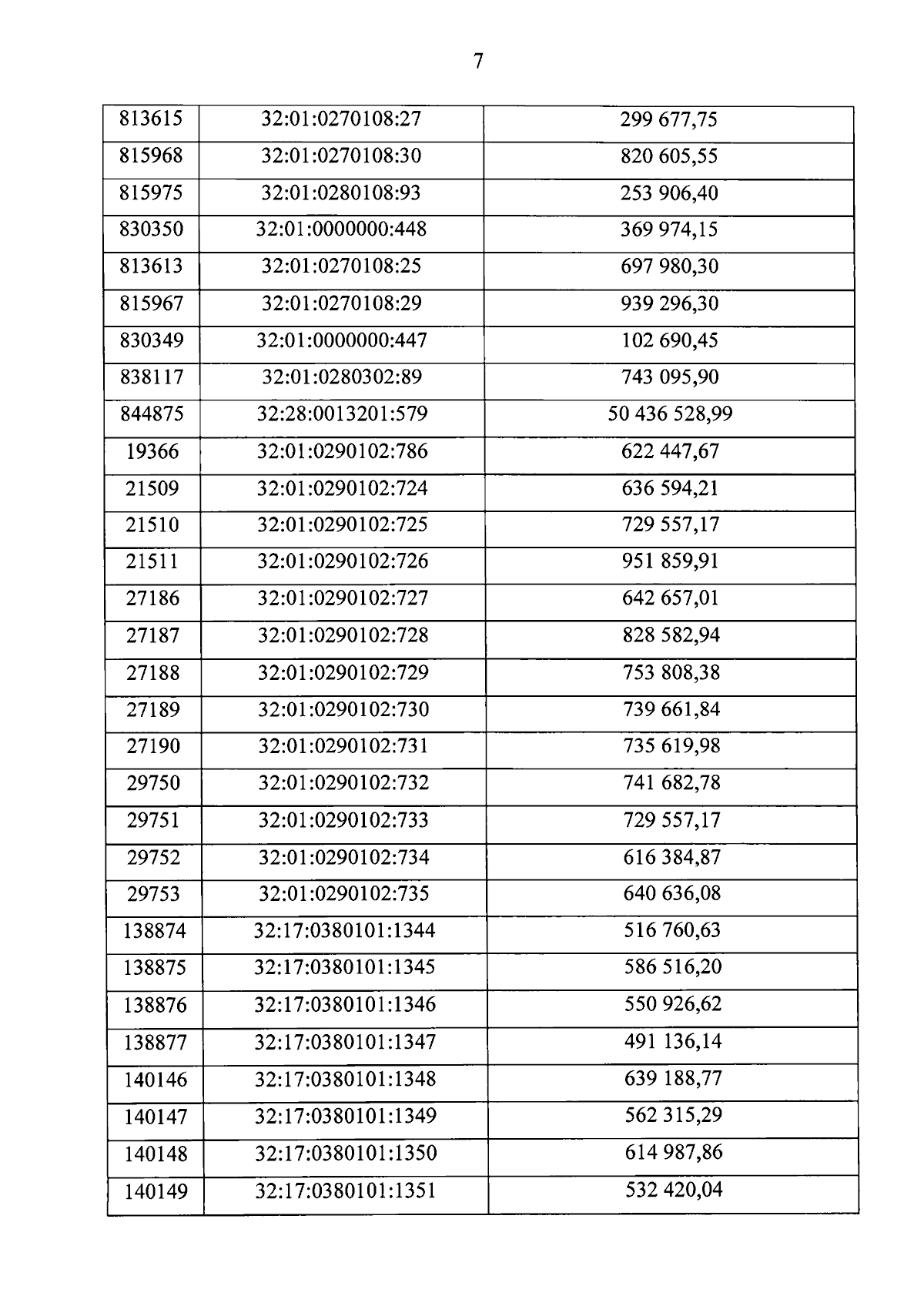
Приказ Управления имущественных отношений Брянской области от 20.11.2024 № 1917
"О внесении изменений в приказ от 01.11.2023 № 1789 "Об утверждении результатов определения кадастровой стоимости на территории Брянской области"
(Зарегистрирован 20.11.2024 № 20240123019)
Номер опубликования: 3201202411250002
Дата опубликования: 25.11.2024
Страница №7 из 11:
Увеличить