Официальное опубликование правовых актов
ОФИЦИАЛЬНОЕ ОПУБЛИКОВАНИЕ
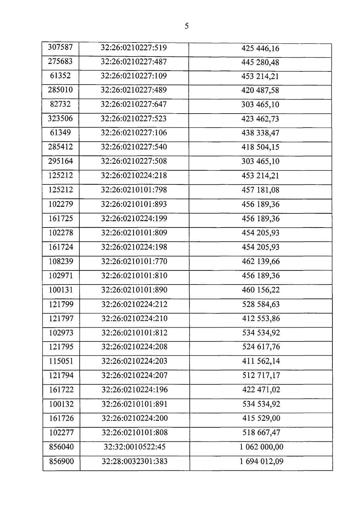
Приказ Управления имущественных отношений Брянской области от 11.11.2024 № 1855
"О внесении изменений в приказ от 01.11.2023 № 1789 "Об утверждении результатов определения кадастровой стоимости на территории Брянской области"
(Зарегистрирован 13.11.2024 № 20240120019)
Номер опубликования: 3201202411150002
Дата опубликования: 15.11.2024
Страница №5 из 13:
Увеличить