Официальное опубликование правовых актов
ОФИЦИАЛЬНОЕ ОПУБЛИКОВАНИЕ
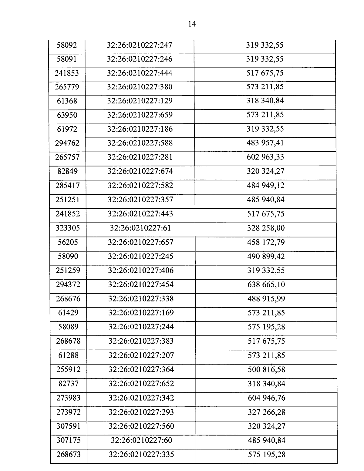
Приказ Управления имущественных отношений Брянской области от 29.10.2024 № 1776
"О внесении изменений в приказ от 01.11.2023 № 1789 "Об утверждении результатов определения кадастровой стоимости на территории Брянской области"
(Зарегистрирован 30.10.2024 № 20240118019)
Номер опубликования: 3201202411020007
Дата опубликования: 02.11.2024
Страница №14 из 16:
Увеличить