Официальное опубликование правовых актов
ОФИЦИАЛЬНОЕ ОПУБЛИКОВАНИЕ
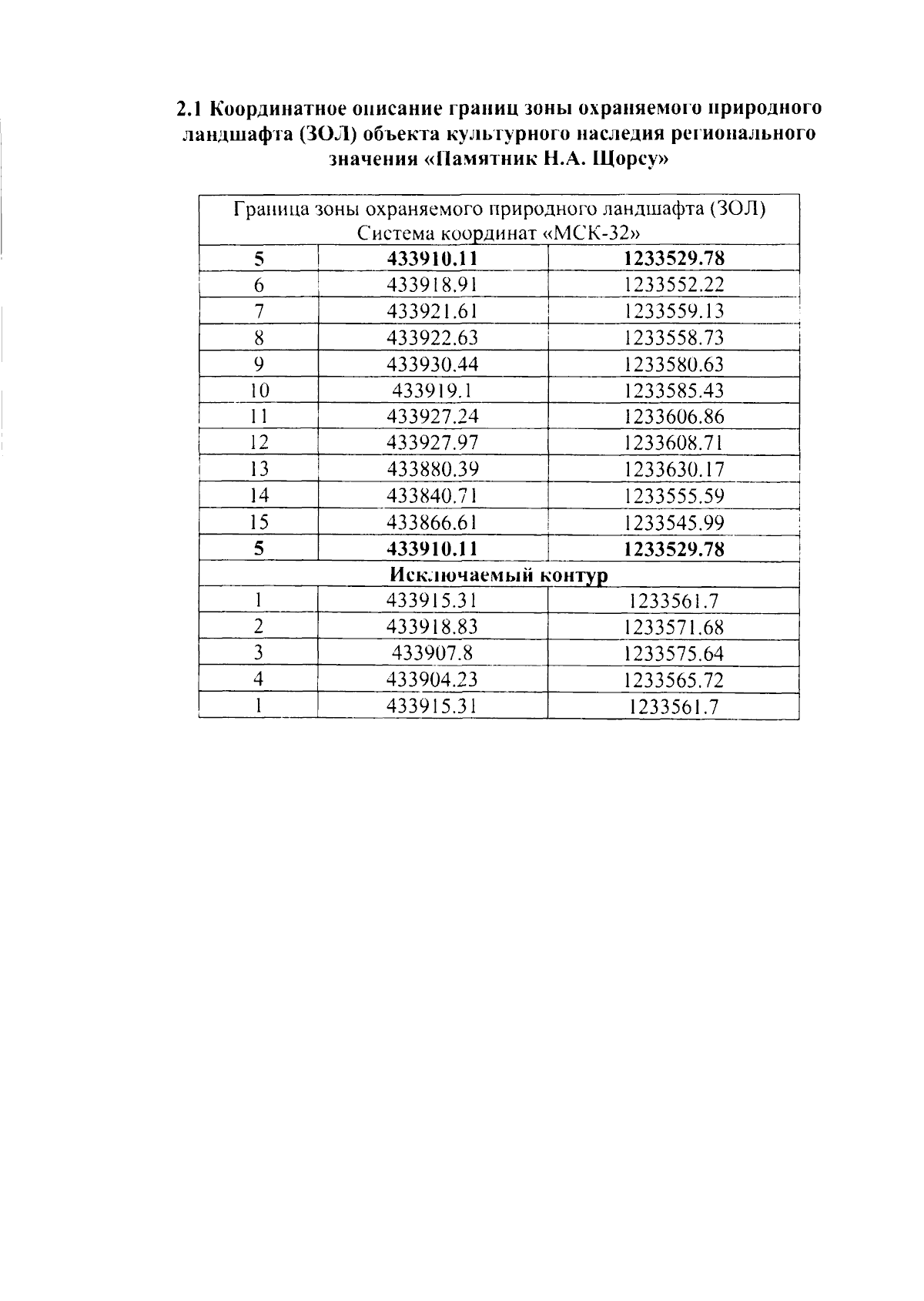
Приказ Управления по охране и сохранению историко-культурного наследия Брянской области от 21.10.2024 № 2-1/138
"Об установлении зон охраны объекта культурного наследия регионального значения "Памятник Н.А. Щорсу", расположенного по адресу: Брянская область, Клинцовский район, г. Клинцы, и утверждении режимов использования земель и требований к градостроительным регламентам в границах территорий зон охраны"
(Зарегистрирован 22.10.2024 № 20240064025)
Номер опубликования: 3201202410290006
Дата опубликования: 29.10.2024
Страница №5 из 14:
Увеличить