Официальное опубликование правовых актов
ОФИЦИАЛЬНОЕ ОПУБЛИКОВАНИЕ
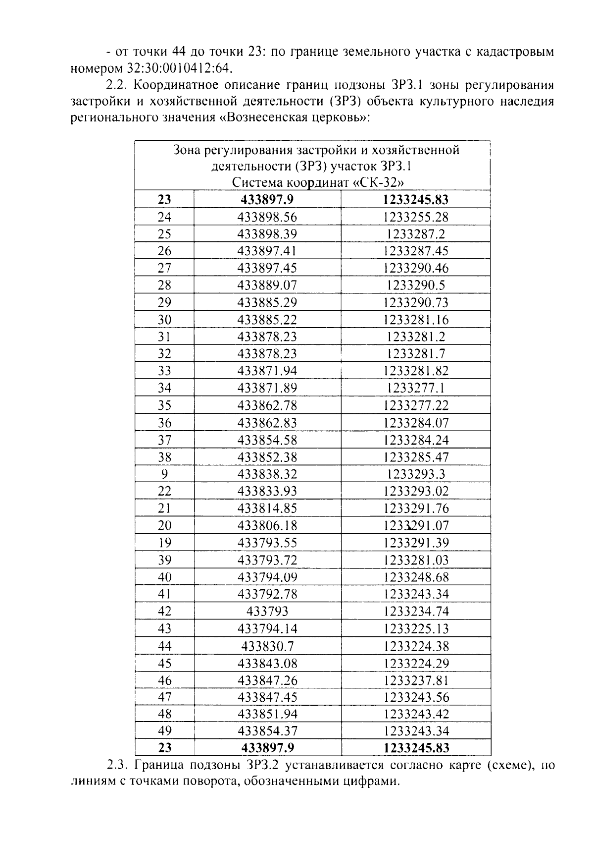
Приказ Управления по охране и сохранению историко-культурного наследия Брянской области от 21.10.2024 № 2-1/135
"Об установлении зон охраны объекта культурного наследия регионального значения "Вознесенская церковь", расположенного по адресу: Брянская область, Клинцовский район, г. Клинцы, ул. Богунского полка, 4, и утверждении требований к градостроительным регламентам в границах территорий зон"
(Зарегистрирован 22.10.2024 № 20240061025)
Номер опубликования: 3201202410290004
Дата опубликования: 29.10.2024
Страница №5 из 26:
Увеличить