Официальное опубликование правовых актов
ОФИЦИАЛЬНОЕ ОПУБЛИКОВАНИЕ
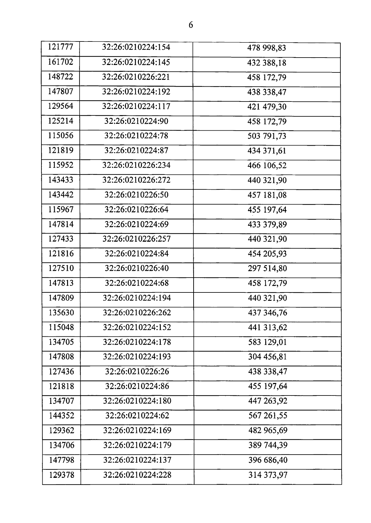
Приказ Управления имущественных отношений Брянской области от 22.10.2024 № 1723
"О внесении изменений в приказ от 01.11.2023 № 1789 "Об утверждении результатов определения кадастровой стоимости на территории Брянской области"
(Зарегистрирован 23.10.2024 № 20240112019)
Номер опубликования: 3201202410250002
Дата опубликования: 25.10.2024
Страница №6 из 9:
Увеличить