Официальное опубликование правовых актов
ОФИЦИАЛЬНОЕ ОПУБЛИКОВАНИЕ
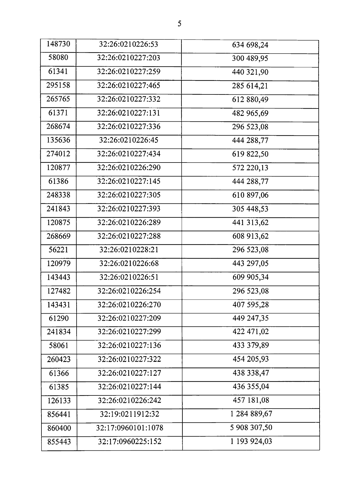
Приказ Управления имущественных отношений Брянской области от 14.10.2024 № 1639
"О внесении изменений в приказ от 01.11.2023 № 1789 "Об утверждении результатов определения кадастровой стоимости на территории Брянской области"
(Зарегистрирован 16.10.2024 № 20240110019)
Номер опубликования: 3201202410170001
Дата опубликования: 17.10.2024
Страница №5 из 13:
Увеличить