Официальное опубликование правовых актов
ОФИЦИАЛЬНОЕ ОПУБЛИКОВАНИЕ
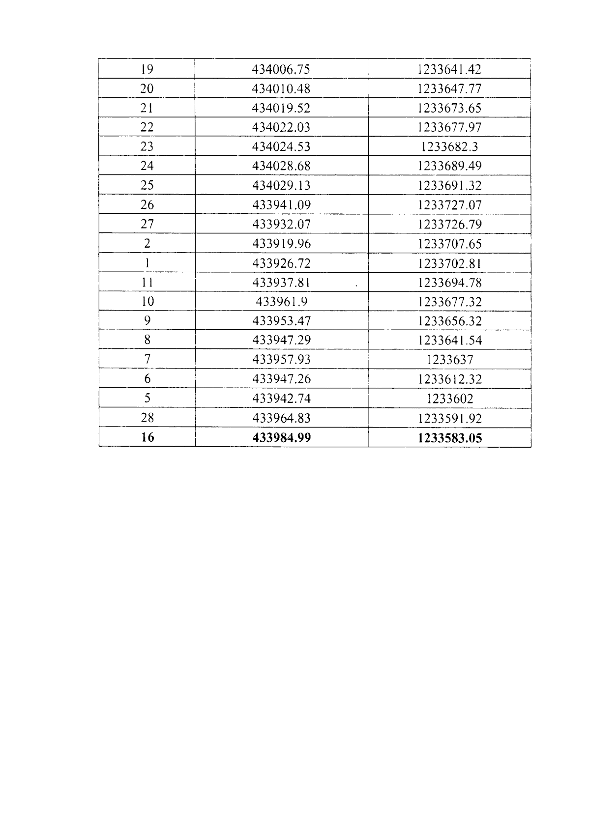
Приказ Управления по охране и сохранению историко-культурного наследия Брянской области от 07.10.2024 № 2-1/126
"Об установлении зон охраны объекта культурного наследия местного (муниципального) значения "Здание типографии", расположенного по адресу: Брянская область, Клинцовский район, г. Клинцы, ул. Дзержинского, д. 3, и утверждении требований к градостроительным регламентам в границах территорий зон охраны"
(Зарегистрирован 08.10.2024 № 20240055025)
Номер опубликования: 3201202410140004
Дата опубликования: 14.10.2024
Страница №8 из 18:
Увеличить