Официальное опубликование правовых актов
ОФИЦИАЛЬНОЕ ОПУБЛИКОВАНИЕ
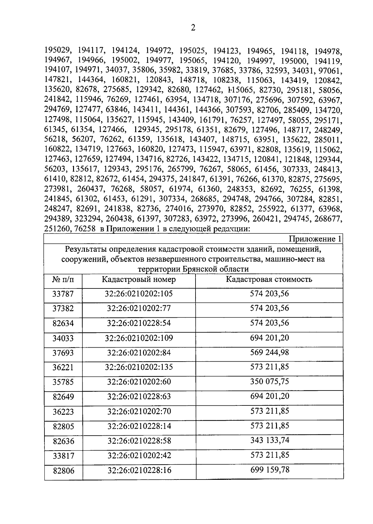
Приказ Управления имущественных отношений Брянской области от 10.10.2024 № 1610
"О внесении изменений в приказ от 01.11.2023 № 1789 "Об утверждении результатов определения кадастровой стоимости на территории Брянской области"
(Зарегистрирован 11.10.2024 № 20240108019)
Номер опубликования: 3201202410140003
Дата опубликования: 14.10.2024
Страница №2 из 13:
Увеличить