Официальное опубликование правовых актов
ОФИЦИАЛЬНОЕ ОПУБЛИКОВАНИЕ
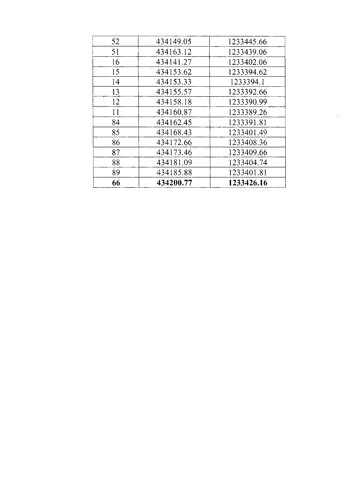
Приказ Управления по охране и сохранению историко-культурного наследия Брянской области от 23.07.2024 № 2-1/95
"Об установлении зон охраны объекта культурного наследия регионального значения "Здание городской Думы и управы", расположенного по адресу: Брянская область, Клинцовский район, г. Клинцы, ул. Октябрьская, д. 19, и утверждении режимов использования земель и требований к градостроительным регламентам в границах территории зон охраны"
(Зарегистрирован 24.07.2024 № 20240038025)
Номер опубликования: 3201202407290004
Дата опубликования: 29.07.2024
Страница №11 из 29:
Увеличить