Официальное опубликование правовых актов
ОФИЦИАЛЬНОЕ ОПУБЛИКОВАНИЕ
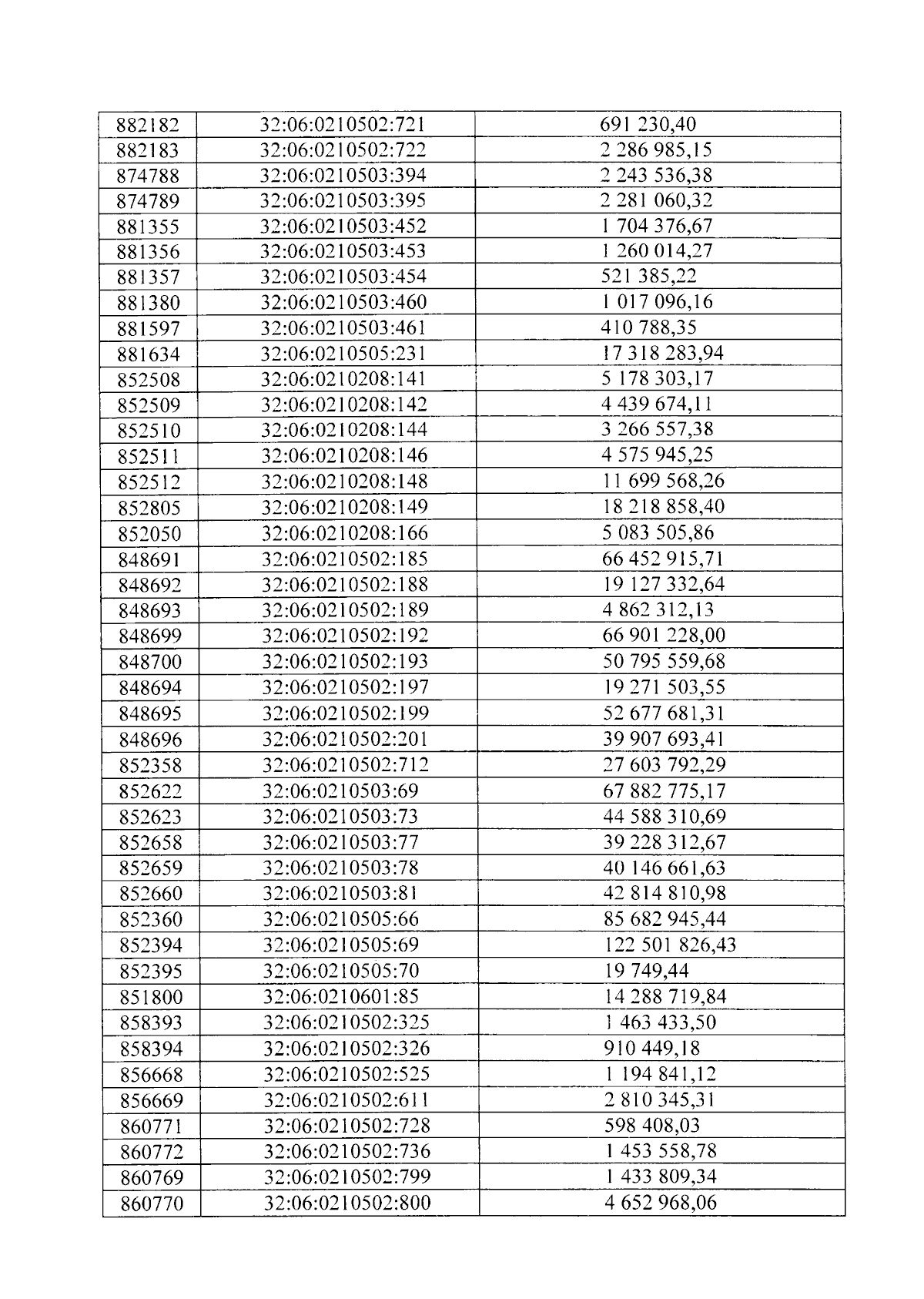
Приказ Управления имущественных отношений Брянской области от 19.07.2024 № 1108
"О внесении изменений в приказ от 01.11.2023 № 1789 "Об утверждении результатов определения кадастровой стоимости на территории Брянской области"
(Зарегистрирован 22.07.2024 № 20240085019)
Номер опубликования: 3201202407260011
Дата опубликования: 26.07.2024
Страница №2 из 3:
Увеличить