Официальное опубликование правовых актов
ОФИЦИАЛЬНОЕ ОПУБЛИКОВАНИЕ
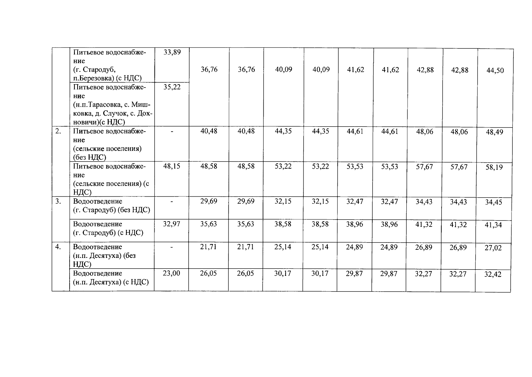
Приказ Управления государственного регулирования тарифов Брянской области от 19.07.2024 № 19/1-вк
"О внесении изменений в приказ управления государственного регулирования тарифов Брянской области от 19 декабря 2023 года № 30/17-вк "О тарифах на питьевую воду (питьевое водоснабжение) и водоотведение для Муниципального унитарного предприятия по обслуживанию дорожно-коммунального хозяйства муниципального образования Стародубский муниципальный округ Брянской области на 2024 - 2028 годы"
(Зарегистрирован 22.07.2024 № 20240048024)
Номер опубликования: 3201202407260009
Дата опубликования: 26.07.2024
Страница №4 из 6:
Увеличить