Приказ Управления государственного регулирования тарифов Брянской области от 20.12.2023 № 31-2/62-гвс
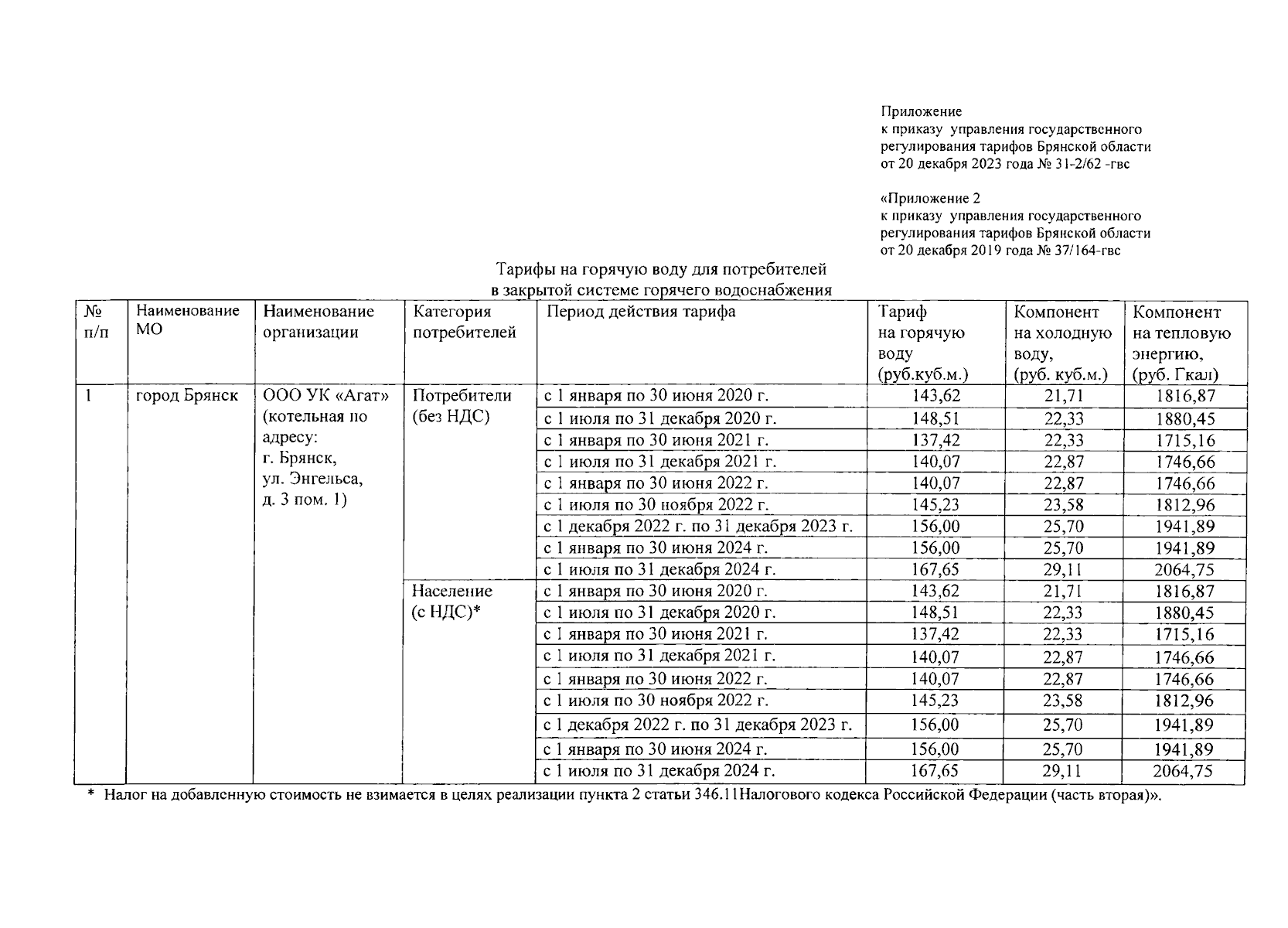
"О внесении изменения в приказ управления государственного регулирования тарифов Брянской области от 20 декабря 2019 года № 37/164-гвс "О тарифах на горячую воду для потребителей ООО УК "Агат" (котельная по адресу: Брянская область, г. Брянск, ул. Энгельса, д. 3, пом. 1)"
(Зарегистрирован 21.12.2023 № 20230333024)
"О внесении изменения в приказ управления государственного регулирования тарифов Брянской области от 20 декабря 2019 года № 37/164-гвс "О тарифах на горячую воду для потребителей ООО УК "Агат" (котельная по адресу: Брянская область, г. Брянск, ул. Энгельса, д. 3, пом. 1)"
(Зарегистрирован 21.12.2023 № 20230333024)
Номер опубликования: 3201202312270079
Дата опубликования:
27.12.2023
