Официальное опубликование правовых актов
ОФИЦИАЛЬНОЕ ОПУБЛИКОВАНИЕ
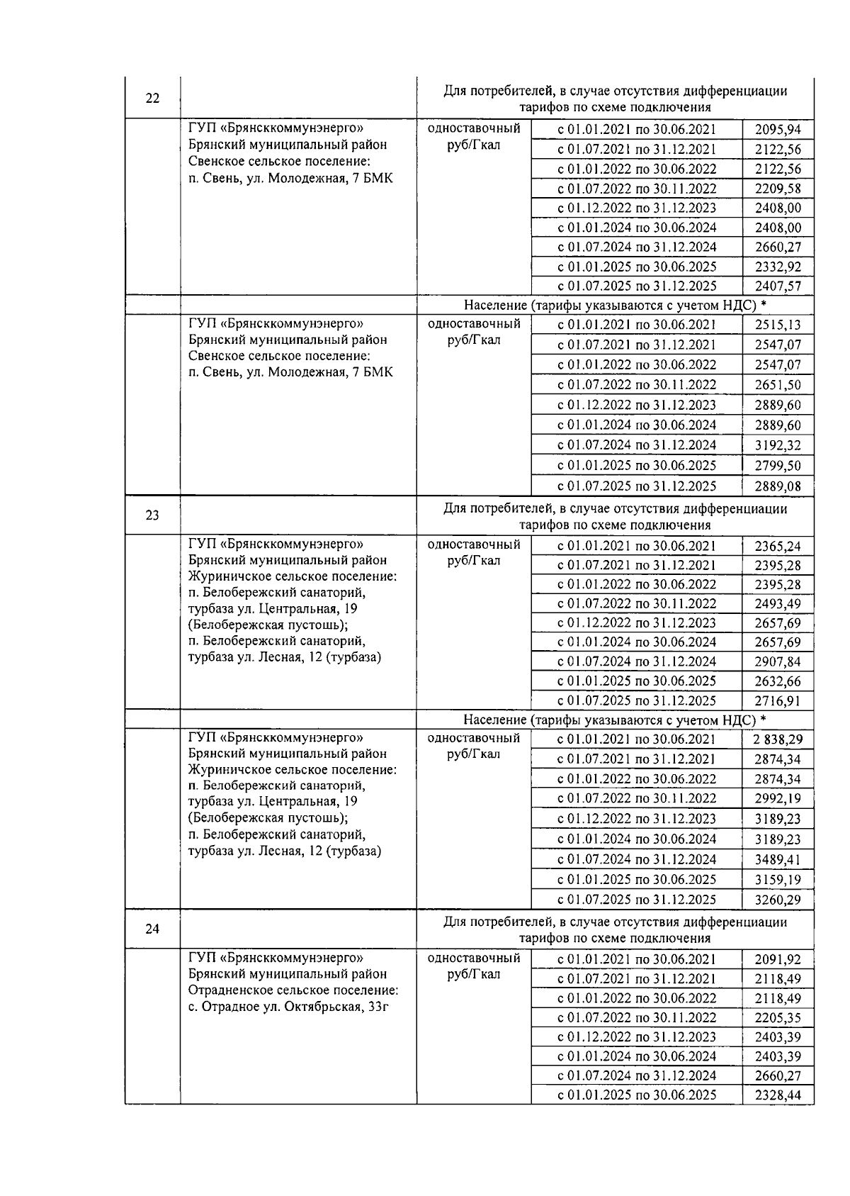
Приказ Управления государственного регулирования тарифов Брянской области от 20.12.2023 № 31-2/1-т
"О внесении изменений в приказ управления государственного регулирования тарифов Брянской области от 18 декабря 2020 года № 31/159-т "О тарифах на тепловую энергию (мощность), поставляемую потребителям ГУП "Брянсккоммунэнерго"
(Зарегистрирован 21.12.2023 № 20230272024)
Номер опубликования: 3201202312270018
Дата опубликования: 27.12.2023
Страница №11 из 44:
Увеличить