Официальное опубликование правовых актов
ОФИЦИАЛЬНОЕ ОПУБЛИКОВАНИЕ
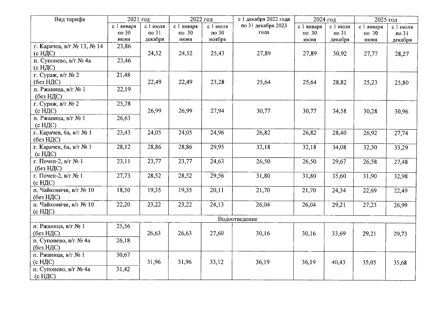
Приказ Управления государственного регулирования тарифов Брянской области от 19.12.2023 № 30/30-вк
"О внесении изменений в приказ управления государственного регулирования тарифов Брянской области от 18 декабря 2020 года № 31/111-вк "О тарифах на питьевую воду (питьевое водоснабжение) и водоотведение"
(Зарегистрирован 20.12.2023 № 20230145024)
Номер опубликования: 3201202312250021
Дата опубликования: 25.12.2023
Страница №3 из 4:
Увеличить