Официальное опубликование правовых актов
ОФИЦИАЛЬНОЕ ОПУБЛИКОВАНИЕ
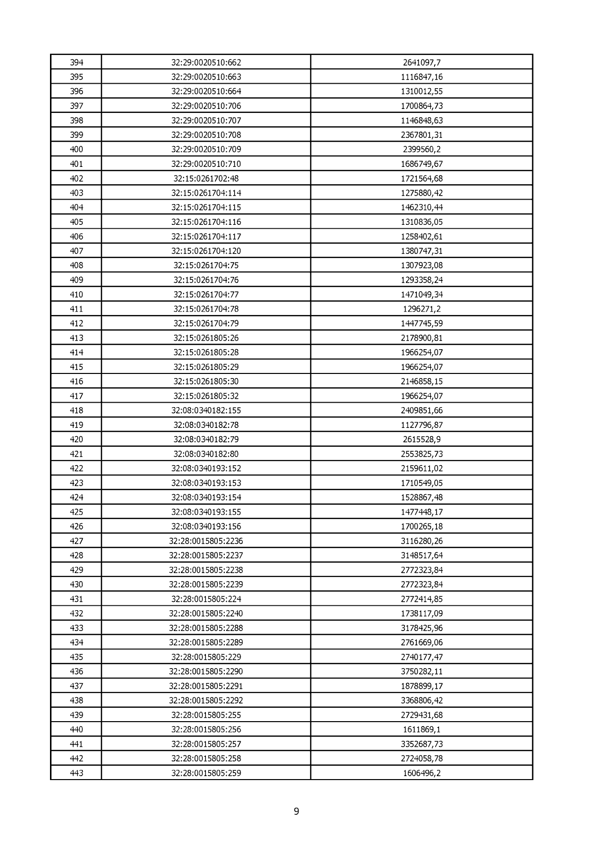
Приказ Управления имущественных отношений Брянской области от 01.11.2023 № 1789
"Об утверждении результатов определения кадастровой стоимости на территории Брянской области"
(Зарегистрирован 01.11.2023 № 2023079019)
Номер опубликования: 3201202311070003
Дата опубликования: 07.11.2023
Страница №10 из 17786:
Увеличить