Официальное опубликование правовых актов
ОФИЦИАЛЬНОЕ ОПУБЛИКОВАНИЕ
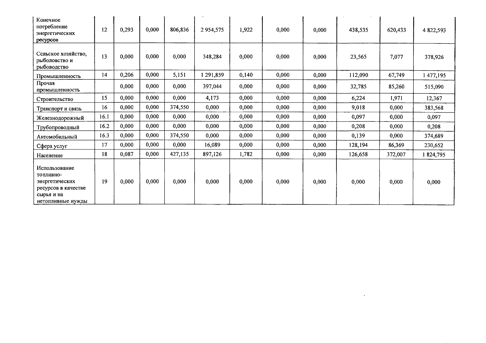
Приказ Управления государственного регулирования тарифов Брянской области от 14.09.2023 № 53
"Об утверждении топливно-энергетического баланса Брянской области за 2022 год"
(Зарегистрирован 15.09.2023 № 20230094024)
Номер опубликования: 3201202309180001
Дата опубликования: 18.09.2023
Страница №12 из 18:
Увеличить