Официальное опубликование правовых актов
ОФИЦИАЛЬНОЕ ОПУБЛИКОВАНИЕ
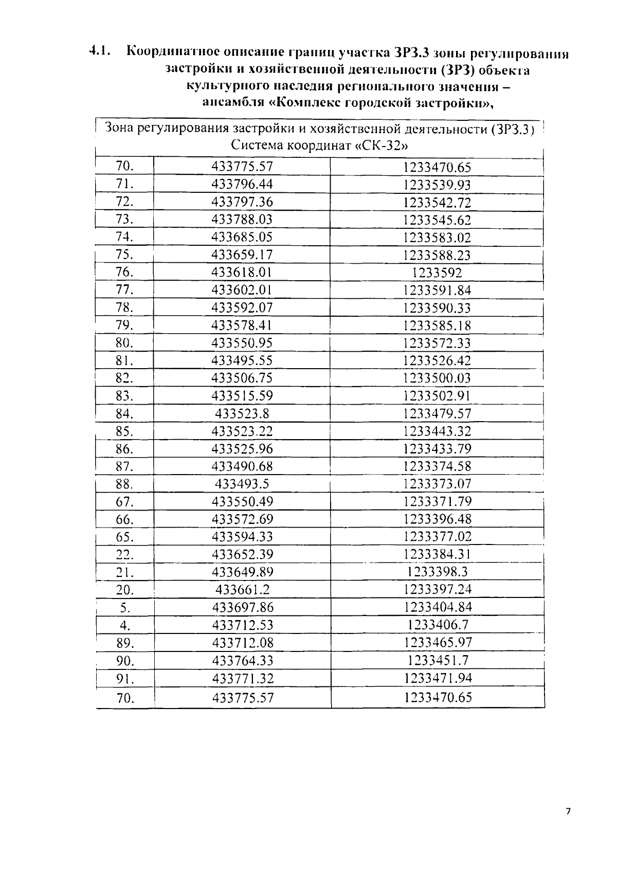
Приказ Управления по охране и сохранению историко-культурного наследия Брянской области от 01.09.2023 № 2-1/104
"Об установлении зон охраны объекта культурного наследия регионального значения - ансамбля "Комплекс городской застройки", расположенного по адресу: Брянская область, Клинцовский район, г. Клинцы, ул. Богунского Полка, д. 3, 5, и утверждении требований к градостроительным регламентам в границах территорий зон"
(Зарегистрирован 07.09.2023 № 20230034025)
Номер опубликования: 3201202309120003
Дата опубликования: 12.09.2023
Страница №9 из 36:
Увеличить