Официальное опубликование правовых актов
ОФИЦИАЛЬНОЕ ОПУБЛИКОВАНИЕ
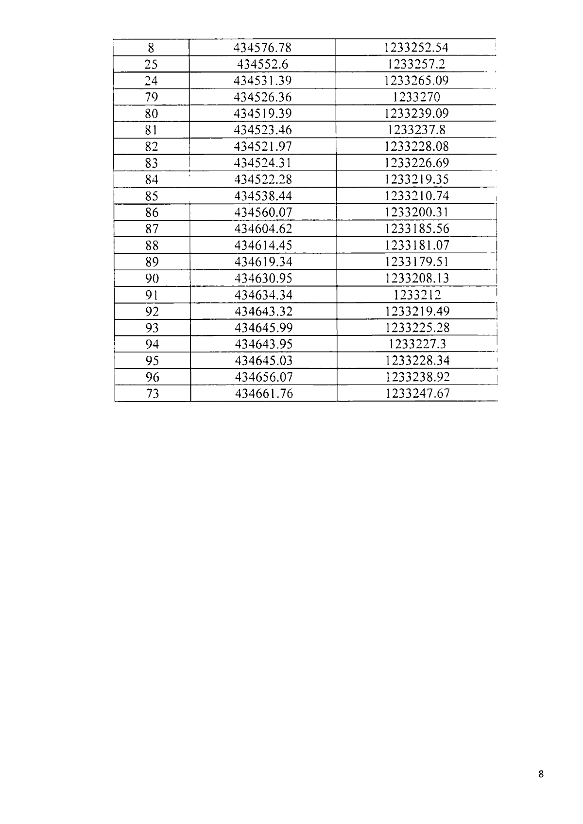
Приказ Управления по охране и сохранению историко-культурного наследия Брянской области от 01.09.2023 № 2-1/105
"Об установлении зон охраны объекта культурного наследия местного (муниципального) значения "Здание техникума, в котором учился Г.Н. Скоробогатый", расположенного по адресу: Брянская область, Клинцовский район, г. Клинцы, ул. Пушкина, д. 24, и утверждении требований к градостроительным регламентам в границах территорий зон"
(Зарегистрирован 07.09.2023 № 20230035025)
Номер опубликования: 3201202309080003
Дата опубликования: 08.09.2023
Страница №10 из 37:
Увеличить