Официальное опубликование правовых актов
ОФИЦИАЛЬНОЕ ОПУБЛИКОВАНИЕ
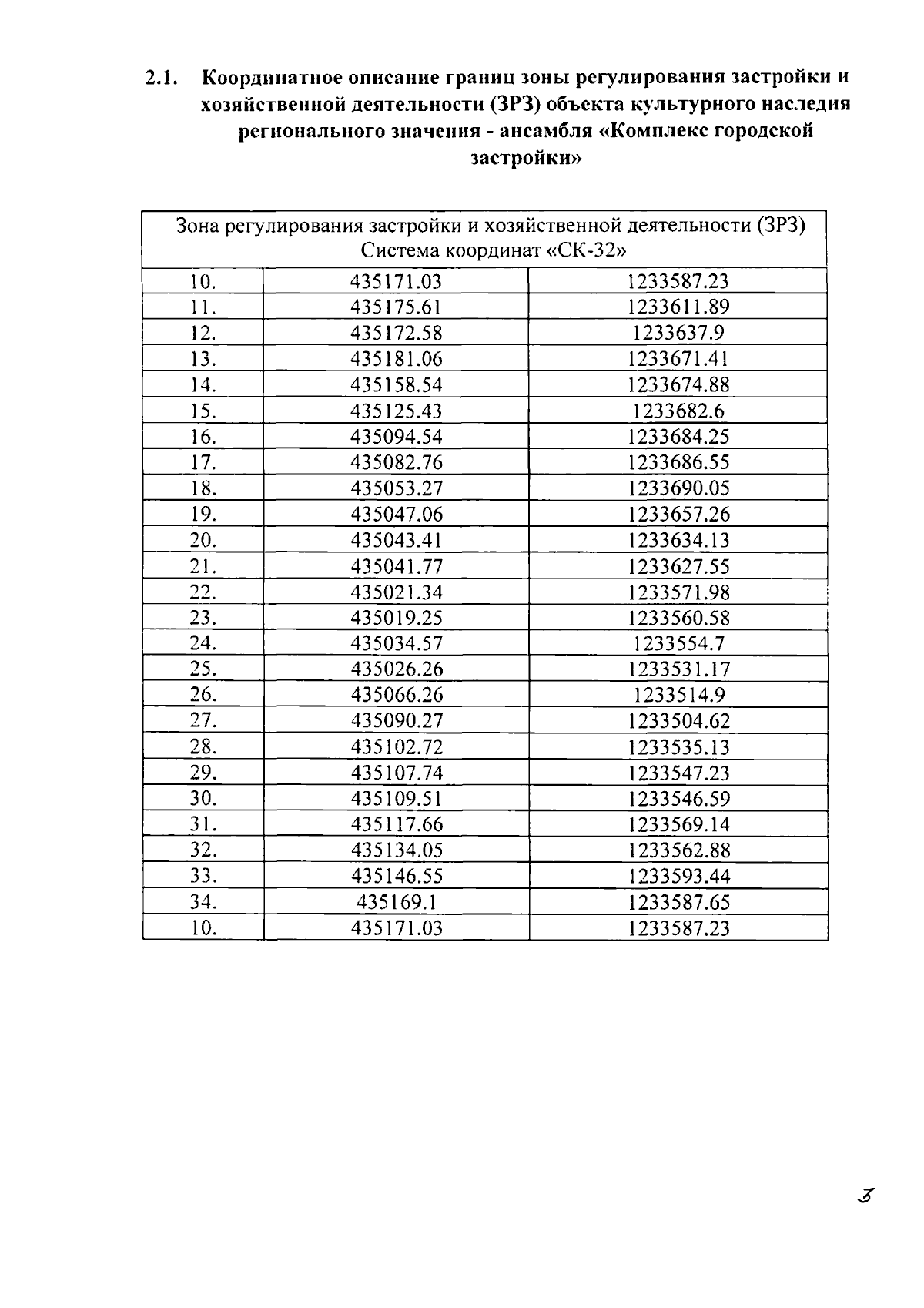
Приказ Управления по охране и сохранению историко-культурного наследия Брянской области от 01.09.2023 № 2-1/102
"Об установлении зон охраны объекта культурного наследия регионального значения - ансамбля "Комплекс городской застройки", расположенного по адресу: Брянская область, Клинцовский район, г. Клинцы, ул. Свердлова, д. 79, и утверждении требований к градостроительным регламентам в границах территорий зон"
(Зарегистрирован 07.09.2023 № 20230032025)
Номер опубликования: 3201202309080002
Дата опубликования: 08.09.2023
Страница №5 из 21:
Увеличить