Официальное опубликование правовых актов
ОФИЦИАЛЬНОЕ ОПУБЛИКОВАНИЕ
Приказ Департамента культуры Брянской области от 10.04.2023 № 0111/279
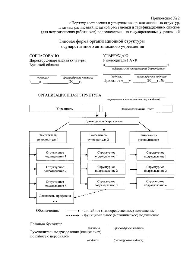
"Об утверждении Порядка составления и утверждения организационных структур, штатных расписаний, штатной расстановки и тарификационных списков (для педагогических работников) подведомственных государственных учреждений"
(Зарегистрирован 11.04.2023 № 20230003013)
Номер опубликования: 3201202304140007
Дата опубликования: 14.04.2023
Страница №14 из 18:
Увеличить