Официальное опубликование правовых актов
ОФИЦИАЛЬНОЕ ОПУБЛИКОВАНИЕ
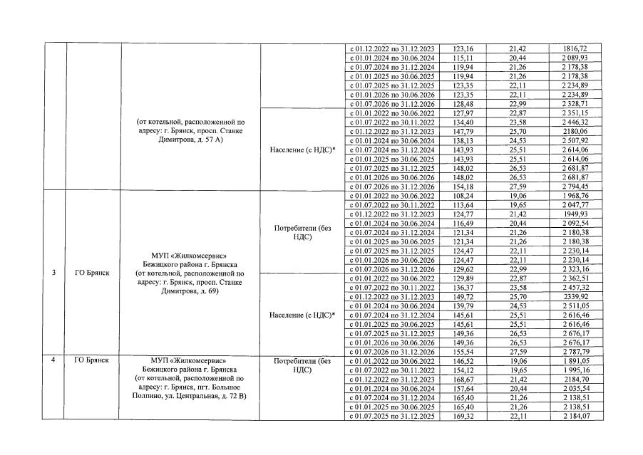
Приказ Управления государственного регулирования тарифов Брянской области от 29.11.2022 № 36/11-гвс
"О внесении изменения в приказ управления государственного регулирования тарифов Брянской области от 20 декабря 2021 года № 34/ 226-гвс "О тарифах на горячую воду, поставляемую потребителям МУП "Жилкомсервис" Бежицкого района г. Брянска"
Номер опубликования: 3201202212050017
Дата опубликования: 05.12.2022
Страница №3 из 4:
Увеличить