Приказ Управления государственного регулирования тарифов Брянской области от 23.11.2022 № 34-2/44-гвс
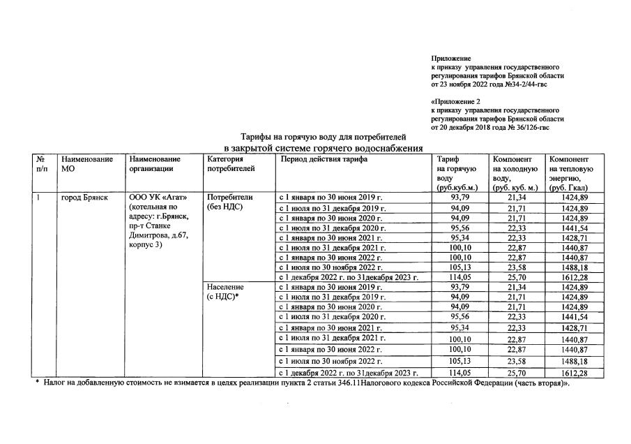
"О внесении изменения в приказ управления государственного регулирования тарифов Брянской области от 20 декабря 2018 года №36/126-гвс "О тарифах на горячую воду, для потребителей ООО УК "Агат" (г. Брянск, проспект Станке Димитрова, д. 67, корп. 3)"
"О внесении изменения в приказ управления государственного регулирования тарифов Брянской области от 20 декабря 2018 года №36/126-гвс "О тарифах на горячую воду, для потребителей ООО УК "Агат" (г. Брянск, проспект Станке Димитрова, д. 67, корп. 3)"
Номер опубликования: 3201202212020017
Дата опубликования:
02.12.2022
