Официальное опубликование правовых актов
ОФИЦИАЛЬНОЕ ОПУБЛИКОВАНИЕ
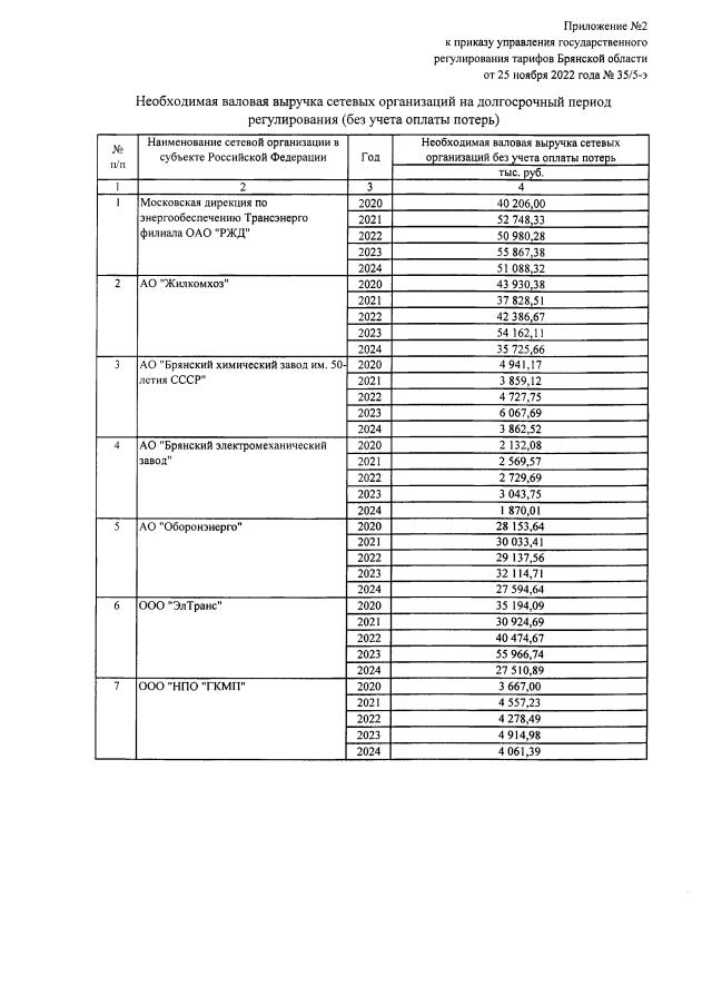
Приказ Управления государственного регулирования тарифов Брянской области от 25.11.2022 № 35/5-э
"О внесении изменений в приказ от 26 декабря 2019 года №39/2-э "О долгосрочных индивидуальных тарифах на услуги по передаче электрической энергии на территории Брянской области на 2020-2024 года"
Номер опубликования: 3201202212010059
Дата опубликования: 01.12.2022
Страница №4 из 4:
Увеличить