Официальное опубликование правовых актов
ОФИЦИАЛЬНОЕ ОПУБЛИКОВАНИЕ
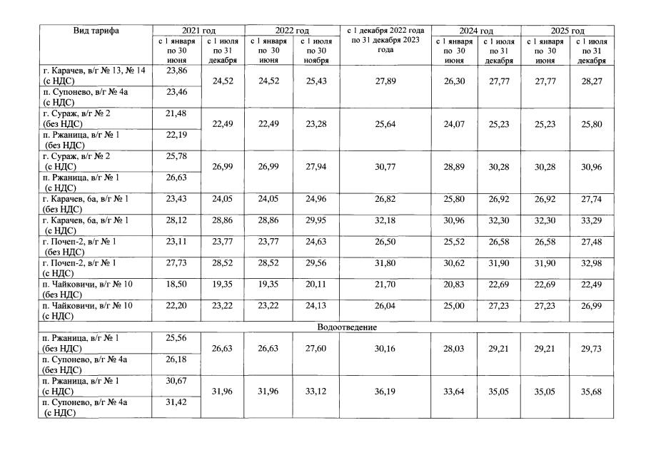
Приказ Управления государственного регулирования тарифов Брянской области от 23.11.2022 № 34-1/73-вк
"О внесении изменений в приказ управления государственного регулирования тарифов Брянской области от 18 декабря 2020 года № З1/111-вк "О тарифах на питьевую воду (питьевое водоснабжение) и водоотведение"
Номер опубликования: 3201202212010054
Дата опубликования: 01.12.2022
Страница №3 из 4:
Увеличить