Официальное опубликование правовых актов
ОФИЦИАЛЬНОЕ ОПУБЛИКОВАНИЕ
Приказ Управления имущественных отношений Брянской области от 18.11.2022 № 1721
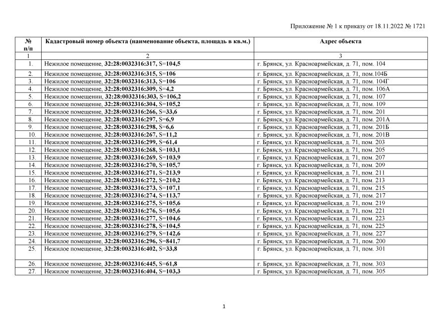
"О внесении изменений в приказ от 26.11.2021 №1825 "Об определении Перечня объектов недвижимого имущества, расположенных на территории Брянской области, в отношении которых в 2022 году налоговая база определяется как их кадастровая стоимость"
Номер опубликования: 3201202211220001
Дата опубликования: 22.11.2022
Страница №3 из 236:
Увеличить