Официальное опубликование правовых актов
ОФИЦИАЛЬНОЕ ОПУБЛИКОВАНИЕ
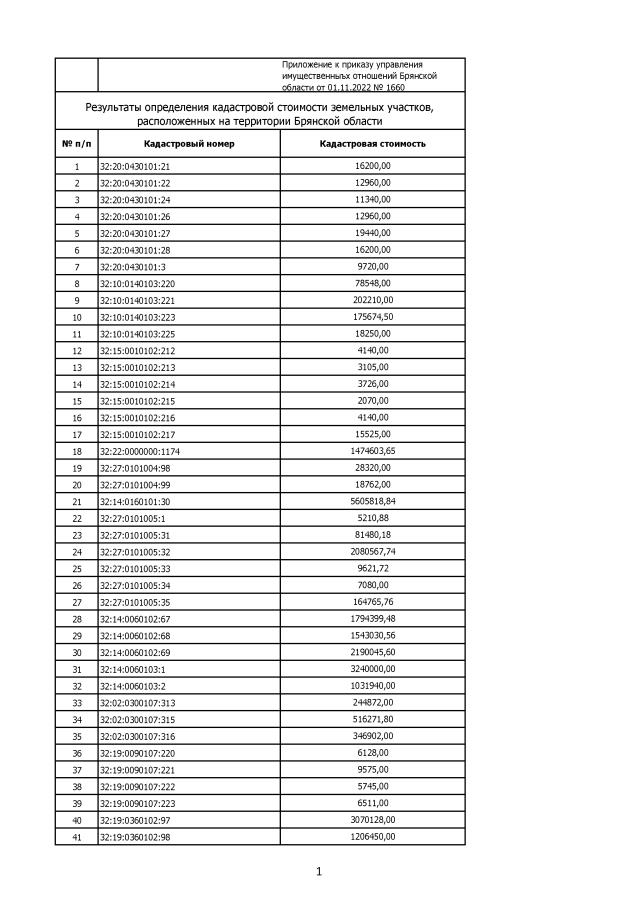
Приказ Управления имущественных отношений Брянской области от 01.11.2022 № 1660
"Об утверждении результатов определения кадастровой стоимости на территории Брянской области"
Номер опубликования: 3201202211070001
Дата опубликования: 07.11.2022
Страница №2 из 15767:
Увеличить