Официальное опубликование правовых актов
ОФИЦИАЛЬНОЕ ОПУБЛИКОВАНИЕ
Приказ Государственной инспекции по надзору за техническим состоянием самоходных машин и других видов техники,аттракционов Брянской области от 29.08.2022 № 69
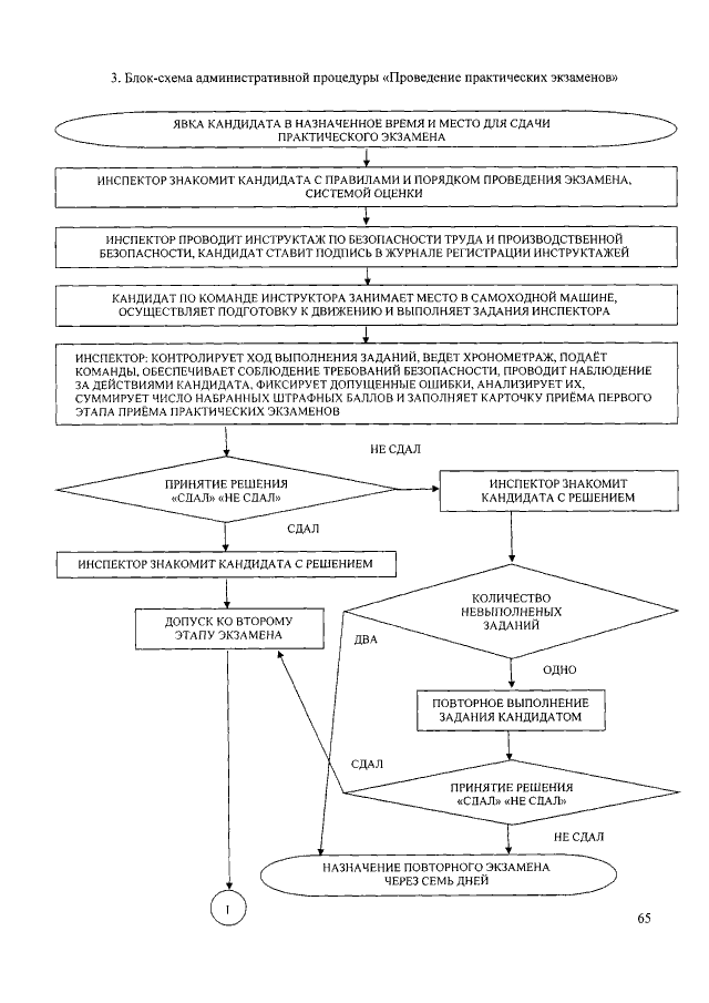
"Об утверждении административного регламента предоставления государственной услуги по приему экзаменов на право управления самоходными машинами и выдаче удостоверений тракториста-машиниста (тракториста) государственной инспекцией по надзору за техническим состоянием самоходных машин и других видов техники, аттракционов Брянской области"
Номер опубликования: 3201202209020002
Дата опубликования: 02.09.2022
Страница №67 из 75:
Увеличить