Официальное опубликование правовых актов
ОФИЦИАЛЬНОЕ ОПУБЛИКОВАНИЕ
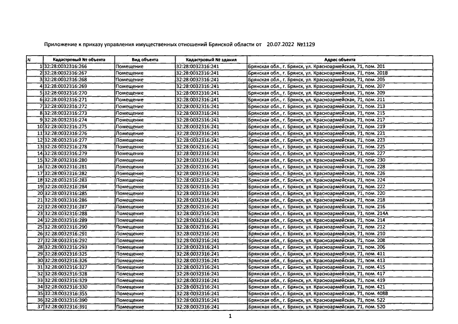
Приказ Управления имущественных отношений Брянской области от 20.07.2022 № 1129
"О внесении изменений в приказ от 27.11.2020 №1723 "Об определении Перечня объектов недвижимого имущества, расположенных на территории Брянской области, в отношении которых в 2021 году налоговая база определяется как их кадастровая стоимость"
Номер опубликования: 3201202207220014
Дата опубликования: 22.07.2022
Страница №3 из 7:
Увеличить