Официальное опубликование правовых актов
ОФИЦИАЛЬНОЕ ОПУБЛИКОВАНИЕ
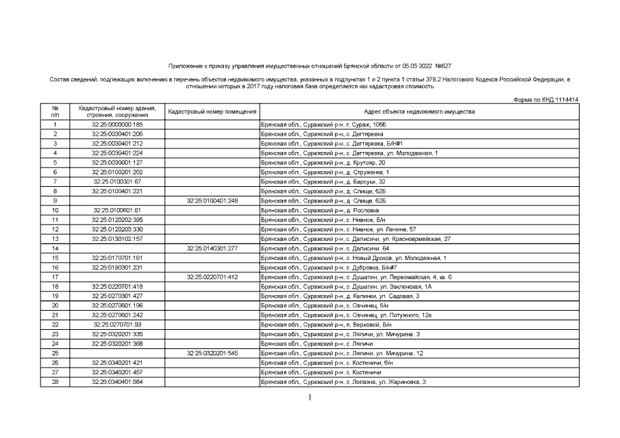
Приказ Управления имущественных отношений Брянской области от 05.05.2022 № 627
"О внесении изменений в приказ от 26.10.2016 №1278 "Об определении Перечня объектов недвижимого имущества, расположенных на территории Суражского района Брянской области, в отношении которых в 2017 году налоговая база определяется как их кадастровая стоимость"
Номер опубликования: 3201202205060005
Дата опубликования: 06.05.2022
Страница №3 из 7:
Увеличить