Официальное опубликование правовых актов
ОФИЦИАЛЬНОЕ ОПУБЛИКОВАНИЕ
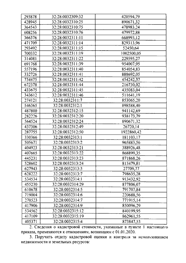
Приказ Управления имущественных отношений Брянской области от 25.02.2022 № 223
"О внесении изменений в приказ от 22.11.2019 № 1498 "Об утверждении результатов определения кадастровой стоимости на территории Брянской области"
Номер опубликования: 3201202202250002
Дата опубликования: 25.02.2022
Страница №3 из 4:
Увеличить