Официальное опубликование правовых актов
ОФИЦИАЛЬНОЕ ОПУБЛИКОВАНИЕ
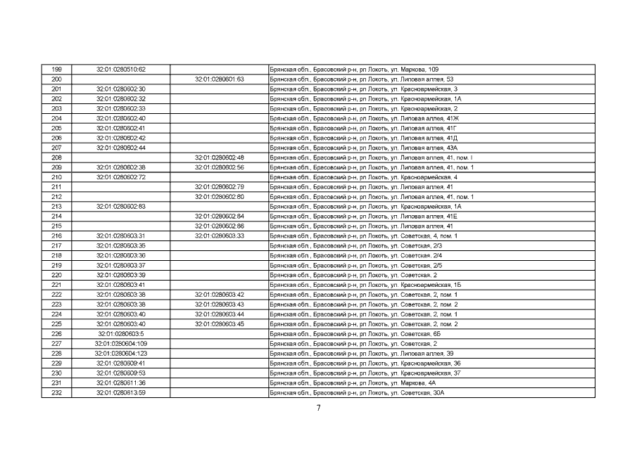
Приказ Управления имущественных отношений Брянской области от 27.01.2022 № 73
"О внесении изменений в приказ от 27.11.2017 №1313 "Об определении Перечня объектов недвижимого имущества, расположенных на территории Брасовского района Брянской области, в отношении которых в 2018 году налоговая база определяется как их кадастровая стоимость"
Номер опубликования: 3201202201280006
Дата опубликования: 28.01.2022
Страница №9 из 11:
Увеличить