Официальное опубликование правовых актов
ОФИЦИАЛЬНОЕ ОПУБЛИКОВАНИЕ
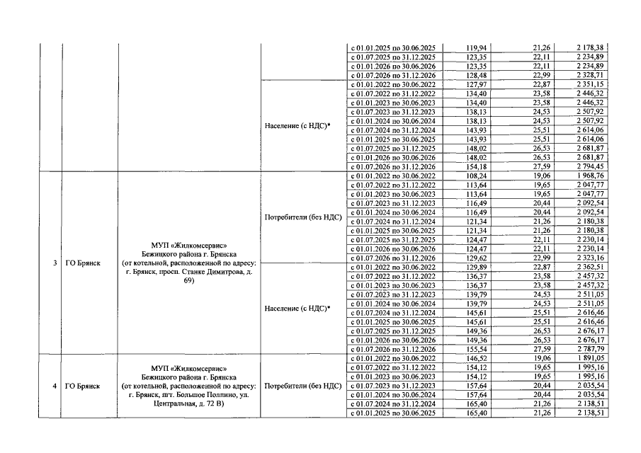
Приказ Управления государственного регулирования тарифов Брянской области от 20.12.2021 № 34/226-гвс
"О тарифах на горячую воду, поставляемую потребителям МУП "Жилкомсервис" Бежицкого района г. Брянска."
Номер опубликования: 3201202112270192
Дата опубликования: 27.12.2021
Страница №4 из 5:
Увеличить