Официальное опубликование правовых актов
ОФИЦИАЛЬНОЕ ОПУБЛИКОВАНИЕ
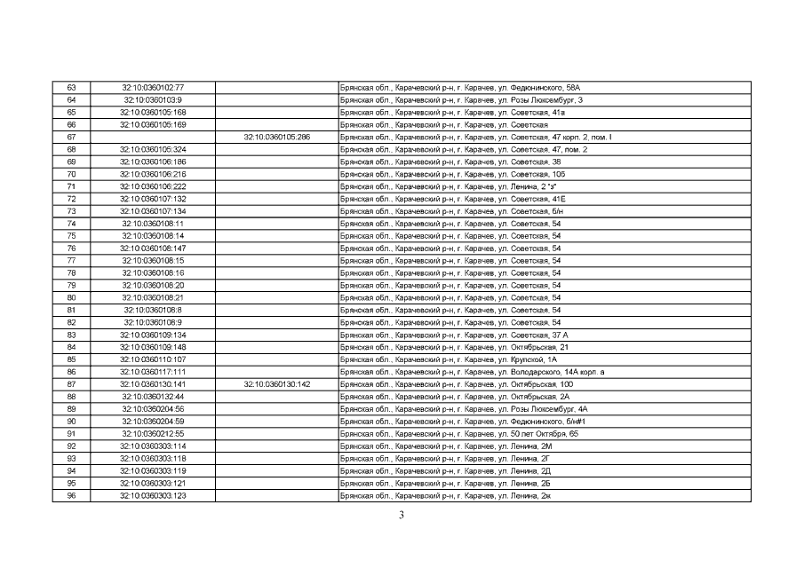
Приказ Управления имущественных отношений Брянской области от 21.12.2021 № 1986
"О внесении изменений в приказ от 26.10.2016 №1262 "Об определении Перечня объектов недвижимого имущества, расположенных на территории Карачевского района Брянской области, в отношении которых в 2017 году налоговая база определяется как их кадастровая стоимость"
Номер опубликования: 3201202112240004
Дата опубликования: 24.12.2021
Страница №5 из 11:
Увеличить