Официальное опубликование правовых актов
ОФИЦИАЛЬНОЕ ОПУБЛИКОВАНИЕ
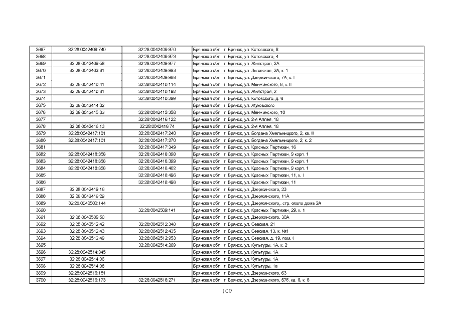
Приказ Управления имущественных отношений Брянской области от 30.11.2021 № 1847
"О внесении изменений в приказ от 24.11.2016 №1410 "Об определении Перечня объектов недвижимого имущества, расположенных на территории города Брянска Брянской области, в отношении которых в 2017 году налоговая база определяется как их кадастровая стоимость"
Номер опубликования: 3201202112030010
Дата опубликования: 03.12.2021
Страница №111 из 115:
Увеличить