Официальное опубликование правовых актов
ОФИЦИАЛЬНОЕ ОПУБЛИКОВАНИЕ
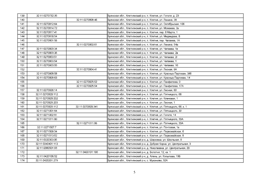
Приказ Управления имущественных отношений Брянской области от 23.11.2021 № 1805
"О внесении изменений в приказ от 27.11.2017 №1332 "Об определении Перечня объектов недвижимого имущества, расположенных на территории Клетнянского района Брянской области, в отношении которых в 2018 году налоговая база определяется как их кадастровая стоимость"
Номер опубликования: 3201202111260007
Дата опубликования: 26.11.2021
Страница №7 из 8:
Увеличить