Официальное опубликование правовых актов
ОФИЦИАЛЬНОЕ ОПУБЛИКОВАНИЕ
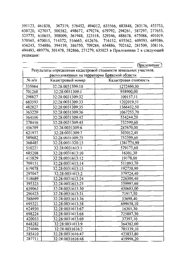
Приказ Управления имущественных отношений Брянской области от 19.11.2021 № 1794
"О внесении изменений в приказ от 22.11.2019 № 1498 "Об утверждении результатов определения кадастровой стоимости на территории Брянской области"
Номер опубликования: 3201202111230001
Дата опубликования: 23.11.2021
Страница №2 из 5:
Увеличить