Официальное опубликование правовых актов
ОФИЦИАЛЬНОЕ ОПУБЛИКОВАНИЕ
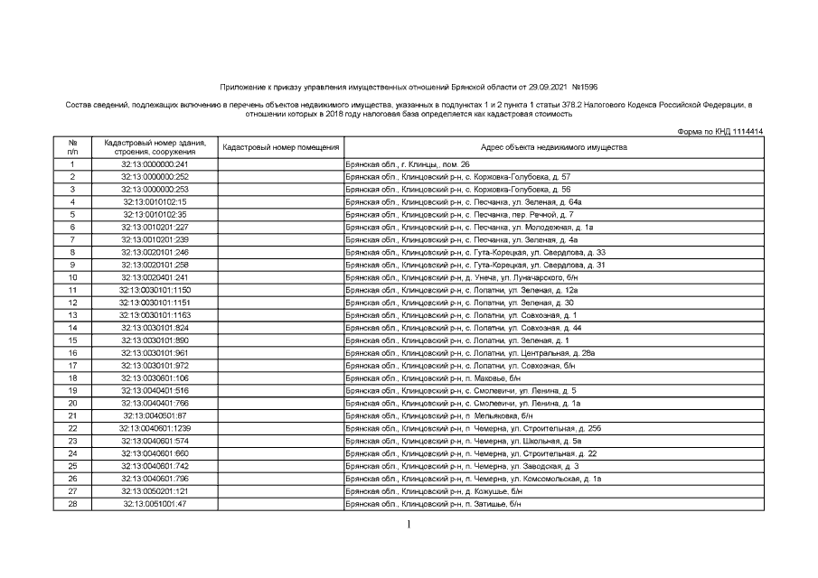
Приказ Управления имущественных отношений Брянской области от 29.09.2021 № 1596
"О внесении изменений в приказ от 27.11.2017 №1330 "Об определении Перечня объектов недвижимого имущества, расположенных на территории Клинцовского района Брянской области, в отношении которых в 2018 году налоговая база определяется как их кадастровая стоимость"
Номер опубликования: 3201202110010015
Дата опубликования: 01.10.2021
Страница №3 из 9:
Увеличить