Официальное опубликование правовых актов
ОФИЦИАЛЬНОЕ ОПУБЛИКОВАНИЕ
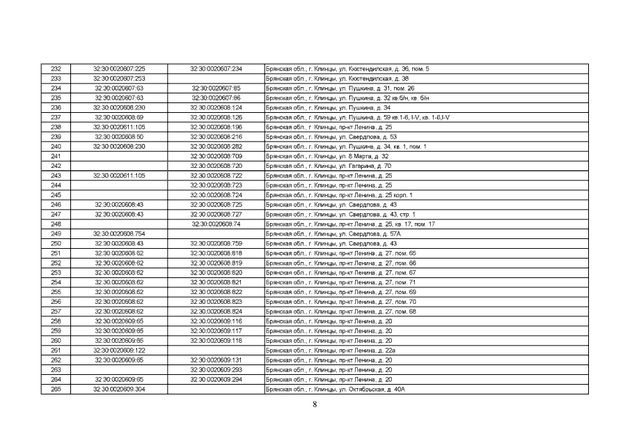
Приказ Управления имущественных отношений Брянской области от 29.09.2021 № 1599
"О внесении изменений в приказ от 27.11.2017 №1343 "Об определении Перечня объектов недвижимого имущества, расположенных на территории города Клинцы Брянской области, в отношении которых в 2018 году налоговая база определяется как их кадастровая стоимость"
Номер опубликования: 3201202110010014
Дата опубликования: 01.10.2021
Страница №10 из 21:
Увеличить