Официальное опубликование правовых актов
ОФИЦИАЛЬНОЕ ОПУБЛИКОВАНИЕ
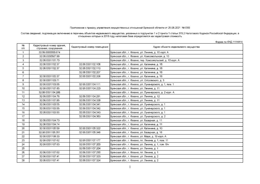
Приказ Управления имущественных отношений Брянской области от 25.08.2021 № 1393
"О внесении изменений в приказ от 27.11.2017 №1339 "Об определении перечня объектов недвижимого имущества, расположенных на территории города Фокино Брянской области, в отношении которых в 2018 году налоговая база определяется как их кадастровая стоимость"
Номер опубликования: 3201202108310019
Дата опубликования: 31.08.2021
Страница №3 из 6:
Увеличить