Официальное опубликование правовых актов
ОФИЦИАЛЬНОЕ ОПУБЛИКОВАНИЕ
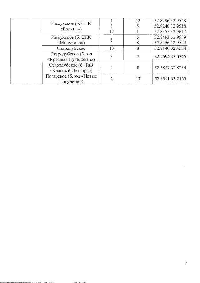
Приказ Управления лесами Брянской области от 19.08.2021 № 405
"Об ограничении пребывания граждан в лесах и въезда в них транспортных средств, проведения определенных видов работ"
Номер опубликования: 3201202108230002
Дата опубликования: 23.08.2021
Страница №7 из 7:
Увеличить