Официальное опубликование правовых актов
ОФИЦИАЛЬНОЕ ОПУБЛИКОВАНИЕ
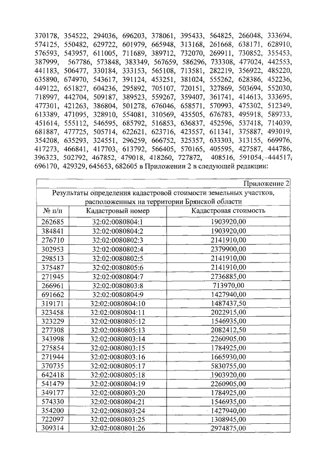
Приказ Управления имущественных отношений Брянской области от 09.06.2021 № 1026
"О внесении изменений в приказ от 22.11.2019 № 1498 "Об утверждении результатов определения кадастровой стоимости на территории Брянской области"
Номер опубликования: 3201202106150005
Дата опубликования: 15.06.2021
Страница №2 из 6:
Увеличить